Home
About Us
Services
Study tools
Tutor Portal
Contact
Login
Signup
Search
×
Search
Physics chapter29 - Problem 28
Physics for Scientists and Engineers (9th Edition)
Chapter-29
Table of Content
Question 28
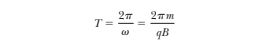
A particle in the cyclotron shown in Figure 29.16a gains energy q DV from the alternating power supply each time it passes from one dee to the other. The time interval for each full orbit is
so the particle's average rate of increase in energy is
Notice that this power input is constant in time. On the other hand, the rate of increase in the radius r of its path is not constant. (a) Show that the rate of increase in the radius r of the particle's path is given by
(b) Describe how the path of the particles in Figure 29.16a is consistent with the result of part (a).
(c) At what rate is the radial position of the protons in a cyclotron increasing immediately before the protons leave the cyclotron? Assume the cyclotron has an outer radius r =
m, an accelerating voltage of v =
V, and a magnetic field of magnitude b =
T.
(d) By how much does the radius of the protons' path increase during their last full revolution?
m =
kg
q =
C
Click for Answer
«
23
24
25
26
27
28
29
30
31
32
»